NECIT’s qualified engineers understand the importance of accurately calculating preheat in welding projects in accordance with national and international standards.
BS EN 1011 is a European Standard series which covers the various types of weldable metallic materials and their specific welding processes. It deals with the production and control of arc welding of metallic materials and is appropriate for all types of fabrication, giving general guidance for the arc welding of metallic materials in all forms of product.
BS EN 1011-2 focuses its guidance upon manual, semi-mechanised, mechanised, and automatic arc welding of ferritic steels (excluding ferritic stainless steels) in any product form. This specification is used to calculate preheat temperatures of ferritic steels.
Preheating is a process that is applied to increase the temperature of the work piece before a weld procedure is performed.
Preheating should be considered when there is a significant risk of hydrogen cracking in the welded joint. According to BS EN ISO 13916:2017 section 3.1, the preheat temperature should be measured in the weld zone immediately prior to any welding operation.
Preheating slows down the cooling rate of weld metal, HAZ (heat-affected zone) and adjacent base metals. This yields a good microstructure to the metal and prevents martensite formation at microstructural level to prevent the cracking of the weld metal and HAZ.
Preheating removes the diffusible hydrogen from the base metal and hence prevents the chances of hydrogen-induced cracking (HIC) and helps reduce the expansion and contraction rate of the metal and burns away any unwanted material or impurities present on the joint surface. Preheating also helps achieve better mechanical properties such as notch toughness.
Preheat can be applied using various methods. The three most common are:
According to BS EN ISO 13916:2017 section 4.1, “The temperature measurement shall normally be made on the surface of the workpiece facing the welder, at a distance of A = 4 × t, but not more than 50 mm, from the longitudinal edge of the groove. This shall apply for workpieces thickness t not exceeding 50 mm in the weld.”
When the thickness exceeds 50 mm, the required temperature shall exist in the parent metal for a minimum distance of 75mm or as otherwise agreed in any direction from the joint preparation. Where practicable, the temperature shall be measured on the face opposite to that which is being heated. Otherwise, the temperature shall be confirmed on the heated face at a time after removal of the heat source related to parent metal thickness to allow for temperature equalization.
Equipment used for temperature measurement should be specified in the Welding Procedure Specifications (WPS), for example:
When calculating preheat, there are four main essentials that should be taken into consideration. These are:
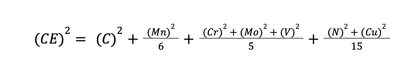
The carbon equivalent is a measure of the tendency of the weld to form martensite on cooling and to suffer brittle fracture. When the carbon equivalent is between 0.40 and 0.60, weld preheat may be necessary. When the carbon equivalent is above 0.60, preheat is necessary, and post heat may also be necessary. The CEV is usually found on the material mill cert, however the precision of the CE value can be estimated by using the below equation:

Diffusible Hydrogen Content: Using Table C.2, the operator must select a hydrogen scale for the consumables being used. As above, this is determined by identifying the diffusible hydrogen content of the consumable and should be stated by the consumable manufacturer in accordance with the relevant standard.
Combined Thickness: Next you must determine the combined thickness of the welded joint. Combined thickness is used to assess the heat sink of a joint for the purpose of determining the cooling rate.
For the same metal thickness, the preheating temperature is higher in a fillet weld than in a butt weld because the combined thickness, and therefore the heat sink, is greater.
If the thickness of the welded joint increases greatly beyond 75 mm from the weld line, it may be necessary to use a higher combined thickness value.
See the image below for guidance on calculating combined thickness.

For many steels, abrupt cooling from the heat of welding should be avoided due to the risk of hardening or cracking. For this reason, depending on the type of material, thickness of material and heat input, preheating and the maintenance of an upper or lower interpass temperature may be required, as listed in the relevant parts of EN 1011. The heat input shall be chosen, so as to be matched to the welding process.
The heat input during welding can be viewed as a main influencing factor on the properties of ferritic and ferritic-austenitic stainless steel welds in particular. This influences the time/temperature cycle occurring during welding.
Where appropriate, the heat input value may be calculated as follows:

Where:
Once the data has been collected for the four main essentials (combined material thickness in mm, heat input measured in KJ/mm, diffusible hydrogen content, CEV) you should refer to Figures C.2 (a- m)- Conditions for welding steels with defined carbon equivalents.
Preheating is often an essential step in a welding procedure to ensure a safe and stable join between two materials. No one understands this better than NECIT’s experienced engineers responsible for performing our full range of services, including welding certification, vendor inspection, non-destructive testing, and consultancy.
To learn more or to enlist our expert services, contact NECIT today.